Löse die folgenden Probleme:
In einem Juweliergeschäft gibt es zwei Silberbarren, einen mit einem Reinheitsgrad von
und einen mit einem Reinheitsgrad von
. Wie viel von jedem muss geschmolzen werden, um einen Barren von
mit einem Reinheitsgrad von
zu erhalten?
Von dem Barren mit einem Reinheitsgrad von
müssen
und von dem anderen Barren
geschmolzen werden.
Dieses Feld ist erforderlich.
Wir bestimmen zunächst:
Menge des Barrens mit einem Reinheitsgrad von 
Menge des Barrens mit einem Reinheitsgrad von 
Wir schreiben die Werte in eine Tabelle
Barren Reinheitsgrad ![]() | Barren Reinheitsgrad ![]() | Gesamt | |
|---|---|---|---|
Anzahl ![]() | ![]() | ![]() | ![]() |
| Silber | ![]() | ![]() | ![]() |
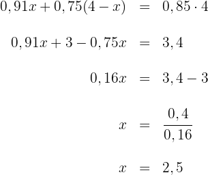
Anhand der gegebenen Werte der Tabelle erstellen wir eine Gleichung

Wir lösen die Gleichung

Geschmolzen werden muss
des Barrens mit einem Reinheitsgrad von
,
des Barrens mit einem Reinheitsgrad von
.
Es gibt zwei Goldbarren. Der eine Barren hat einen Reinheitsgrad von
, der andere eine Reinheit von
. Wir möchten
des 1. Barrens und
des 2. Barrens mischen. Welchen Reinheitsgrad hat dann die erhaltene Mischung?

Dieses Feld ist erforderlich.
Wir bestimmen zunächst:
der Reinheitsgrad der neuen Mischung
Wir schreiben die Werte in eine Tabelle
Barren Reinheitsgrad ![]() | Barren Reinheitsgrad ![]() | Gesamt | |
|---|---|---|---|
Anzahl ![]() | ![]() | ![]() | ![]() |
| Gold | ![]() | ![]() | ![]() |
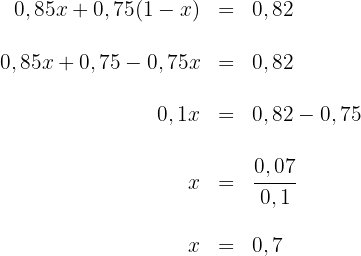
Anhand der gegebenen Werte der Tabelle erstellen wir eine Gleichung

Wir lösen die Gleichung

Die erhaltene Mischung hat einen Reinheitsgrad von
.
In einem Juweliergeschäft gibt es zwei Silberbarren, einen mit einem Reinheitsgrad von
und einen mit einem Reinheitsgrad von
. Wie viel von jedem muss geschmolzen werden, um einen Barren von
mit einem Reinheitsgrad von
zu erhalten?
Von dem Barren mit einem Reinheitsgrad von
müssen
und von dem anderen
geschmolzen werden
Dieses Feld ist erforderlich.
Wir bestimmen zunächst:
Menge des Barrens mit einem Reinheitsgrad von 
Menge des Barrens mit einem Reinheitsgrad von 
Wir schreiben die Werte in eine Tabelle
Barren Reinheitsgrad ![]() | Barren Reinheitsgrad ![]() | Gesamt | |
|---|---|---|---|
Anzahl ![]() | ![]() | ![]() | ![]() |
| Silber | ![]() | ![]() | ![]() |
Anhand der gegebenen Werte der Tabelle erstellen wir eine Gleichung

Wir lösen die Gleichung

Geschmolzen werden muss:
des Barrens mit einem Reinheitsgrad von
,
des Barrens mit einem Reinheitsgrad von
.
Es gibt zwei Goldbarren. Einer hat einen Reinheitsgrad von
und der andere einen Reinheitsgrad von
. Wir möchten
vom 1. Barren und
vom 2. Barren mischen. Welchen Reinheitsgrad hat die erhaltene Mischung?

Dieses Feld ist erforderlich.
Wir bestimmen zunächst:
Reinheitsgrad der neuen Mischung
Wir schreiben die Werte in eine Tabelle
Barren Reinheitsgrad ![]() | Barren Reinheitsgrad ![]() | Gesamt | |
|---|---|---|---|
| Anzahl kg | ![]() | ![]() | ![]() |
| Gold | ![]() | ![]() | ![]() |
Anhand der gegebenen Werte der Tabelle erstellen wir eine Gleichung

Wir lösen die Gleichung

Die erhaltene Mischung hat einen Reinheitsgrad von 
In einer Schmelzanlage befinden sich zwei Stahlstangen, eine mit einem Reinheitsgrad von
und eine mit einem Reinheitsgrad von
. Wie viel muss von jeder Sorte geschmolzen werden, um eine Stange mit einem Gewicht von
und einem Reinheitsgrad von
zu erhalten?
Von dem Barren mit einem Reinheitsgrad von
müsssen
und von dem anderen Barren
geschmolzen werden
Dieses Feld ist erforderlich.
Wir bestimmen zunächst
Menge des Barrens mit einem Reinheitsgrad von 
Menge des Barrens mit einem Reinheitsgrad von 
Wir schreiben die Werte in eine Tabelle
Barren Reinheitsgrad ![]() | Barren Reinheitsgrad ![]() | Gesamt | |
|---|---|---|---|
Anzahl ![]() | ![]() | ![]() | ![]() |
| Stahl | ![]() | ![]() | ![]() |
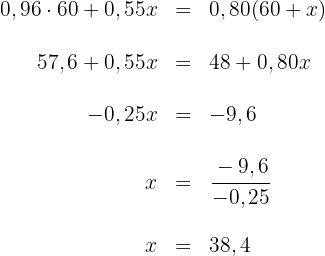
Anhand der gegebenen Werte der Tabelle erstellen wir eine Gleichung

Wir lösen die Gleichung

Geschmolzen werden muss:
des Barrens mit einem Reinheitsgrad von
,
des Barrens mit einem Reinheitsgrad von
.
Zwei Barren enthalten jeweils zu
und
Stahl. Wenn wir
des ersten Barrens und
des zweiten Barrens mischen, wie viel Prozent Stahl enthält der neue Barren dann?

Dieses Feld ist erforderlich.
Zunächst bestimmen wir:
Reinheitsgrad des neuen Barrens
Wir schreiben die Werte in eine Tabelle
Barren Reinheitsgrad ![]() | Barren Reinheitsgrad ![]() | Gesamt | |
|---|---|---|---|
| Anzahl kg | ![]() | ![]() | ![]() |
| Stahl | ![]() | ![]() | ![]() |
Wir erstellen eine Gleichung anhand der gegebenen Daten der Tabelle

Wir lösen die Gleichung

Die erhaltene Mischung hat einen Reinheitsgrad von 
Ein Barren von
enthält zu
Stahl. Wie viele Kilogramm eines Barrens, der zu
Stahl enthält, müssen geschmolzen werden, um einen Stahlanteil von
zu erhalten?

Dieses Feld ist erforderlich.
Zunächst bestimmen wir:
Menge des Barrens mit einem Stahlanteil von 
Menge des Barrens mit einem Stahlanteil von 
Wir schreiben die Werte in eine Tabelle
Barren Reinheitsgrad ![]() | Barren Reinheitsgrad ![]() | Gesamt | |
|---|---|---|---|
Anzahl ![]() | ![]() | ![]() | ![]() |
| Stahl | ![]() | ![]() | ![]() |
Wir erstellen eine Gleichung anhand der Daten der Tabelle

Wir lösen die Gleichung

Geschmolzen werden muss:
des Barrens mit einem Stahlanteil von
.
Mit KI zusammenfassen:




































