Löse die folgenden Probleme:
Wir wissen, dass zwei Städte
und
voneinander entfernt liegen. Ein Auto fährt von
nach
mit einer Geschwindigkeit von
um
Uhr morgens. Zur selben Zeit fährt ein Lkw von
nach
. Angenommen, beide fahren mit konstanter Geschwindigkeit und wissen, dass sie sich um Viertel vor zwölf begegnen, können wir dann sagen, mit welcher Geschwindigkeit der Lkw gefahren ist?

Dieses Feld ist erforderlich.
1 Wir wissen, dass sie sich um
begegnen. Da sie um
losfahren, dauert es insgesamt
und
, bis sie sich begegnen, d. h. 

2Wir wissen, dass die vom ersten Fahrzeug zurückgelegte Strecke plus die vom zweiten Fahrzeug zurückgelegte Strecke gleich
ist

3 Somit fährt der Lkw mit einer Geschwindigkeit von

Zwei Städte
und
liegen
voneinander entfernt. Ein Auto fährt mit einer Geschwindigkeit von
von der Stadt
in Richtung Stadt
, und gleichzeitig fährt ein anderes Auto von der Stadt
mit einer Geschwindigkeit von
in Richtung Stadt
. Berechne, wie lange es dauern wird, bis sie aufeinander treffen.

Dieses Feld ist erforderlich.
1 Wir wissen, dass die Autos zur gleichen Zeit aus beiden Städten losfahren. Betrachten wir
als die Zeit, die bis zum Zeitpunkt ihres Zusammentreffens verstrichen ist.

2 Wir wissen, dass die vom ersten Auto zurückgelegte Strecke plus die vom zweiten Auto zurückgelegte Strecke gleich
ist

Somit würden sich beide Autos eine Stunde nach Beginn ihrer Fahrt kreuzen.
Zwei Punkte
und
liegen voneinander entfernt. Ein Fahrradfahrer fährt von
nach
mit einer Geschwindigkeit von
. Zur selben Zeit fährt ein anderer von
nach
mit einer Geschwindigkeit von
. Berechne die Entfernung zwischen den zwei Punkten, wenn sich die beiden nach 15 Minuten kreuzen.

Dieses Feld ist erforderlich.
1 Wir wissen, dass die Radfahrer zur gleichen Zeit von beiden Punkten losfahren und dass sie
benötigen, bis sich ihre Wege kreuzen.

2 Wir wissen, dass die Summe der vom ersten Radfahrer zurückgelegten Strecke und der vom zweiten Radfahrer zurückgelegten Strecke gleich der Entfernung zwischen den beiden Punkten ist.
Somit liegen die beiden Punkte
voneinander entfernt.
4Um
Uhr morgens fährt Elena mit
aus einer Stadt
in Richtung Madrid los. Zur gleichen Zeit fährt Jakob aus einer anderen Stadt
los, die in derselben Richtung wie
liegt, und zwar mit einer Geschwindigkeit von
, ebenfalls in Richtung Madrid.
Da die Entfernung zwischen
und
beträgt und beide die gesamte Strecke mit konstanter Geschwindigkeit zurücklegen, beantworte bitte die folgenden Fragen:
Wie lange wird es dauern, bis Elena und Jakob aufeinander treffen?
Es dauert

Dieses Feld ist erforderlich.
Wir wissen, dass sie zu einer Zeit
aufeinandertreffen. Da Jakob einen Vorsprung von
hat, haben wir


Somit kreuzen sich ihre Wege nach
.
Um welche Uhrzeit treffen sie sich?
Um

Dieses Feld ist erforderlich.
Wir wissen, dass sie um
losfahren. Also treffen sie sich um 
Welche Strecke wird jeder von ihnen zu diesem Zeitpunkt zurückgelegt haben?
Elena: 
Jakob: 
Dieses Feld ist erforderlich.
Elena hat
zurückgelegt
Jakob hat
zurückgelegt
5Zwei Städte
und
liegen
voneinander entfernt. Um 10 Uhr morgens fährt ein Auto aus jeder Stadt los, und beide Autos fahren in die gleiche Richtung.
Das Auto, das in Stadt
startet, fährt mit einer Geschwindigkeit von
und das Auto, das in
startet, fährt mit
. Angenommen, beide fahren die gesamte Strecke mit konstanter Geschwindigkeit, beantworte dann die folgenden Fragen:
Wie lange dauert es, bis sie sich begegnen?
Es dauert

Dieses Feld ist erforderlich.
Wir wissen, dass sie sich zu einer Zeit
begegnen. Da das 2. Auto einen Vorsprung von
hat, haben wir


Somit begegnen sich die beiden Autos nach
.
Um wie viel Uhr werden sie sich begegnen
Um

Dieses Feld ist erforderlich.
Wir wissen, dass sie um
losfahren. Also begegnen sie sich um
s
Welche Strecke wird jeder von ihnen zu diesem Zeitpunkt zurückgelegt haben?
Das Auto, das in
gestartet ist, hat
zurückgelegt und das Auto, das in
startet 
Dieses Feld ist erforderlich.
Die zurückgelegte Strecke des ersten Autos ist 
Die zurückgelegte Strecke des zweiten Autos ist 
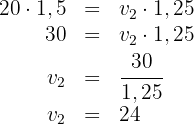
6Ein Radfahrer fährt von einem Punkt
mit einer Geschwindigkeit von
los. Ein weiterer Radfahrer startet
Minuten später vom selben Punkt aus. Wie schnell muss dieser zweite Radfahrer fahren, um den ersten in einer Stunde und fünfzehn Minuten einzuholen?

Dieses Feld ist erforderlich.
1 Wir bezeichnen die Zeit, die der erste Radfahrer fährt, mit
und die Zeit, die der zweite Radfahrer fährt, mit
, also


2 Wenn der zweite Radfahrer den ersten in einer Stunde und einer Viertelstunde einholen will, bedeutet dies, dass der erste Radfahrer eineinhalb Stunden lang in die Pedale tritt. Dann haben wir:
Daraus folgt, dass 
3 Die zurückgelegte Strecke muss für beide Radfahrer gleich sein.

Die Geschwindigkeit des zweiten Radfahrers muss
betragen.
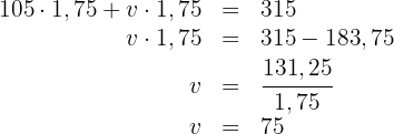
7Ein Auto verlässt die Stadt
mit einer Geschwindigkeit von
. Eine Stunde später verlässt ein weiteres Auto dieselbe Stadt, um das erste mit einer Geschwindigkeit von
zu verfolgen. In welcher Entfernung treffen sich die beiden Autos?

Dieses Feld ist erforderlich.
1 Wenn die Fahrzeit des ersten Autos
beträgt, beträgt die Fahrzeit des zweiten Autos, das eine Stunde später losfährt,


2 Wir wissen, dass die von beiden Autos zurückgelegte Strecke gleich ist

3 Wir setzen
ein
Beide treffen nach
aufeinander.
Mit KI zusammenfassen:
