Löse die folgenden Aufgaben:
1
Der Umfang eines rechteckigen Grundstücks beträgt
. Wie groß ist das Grundstück, wenn man weiß, dass seine Länge dreimal so groß wie seine Breite ist?
Länge
.
Breite
.
Dieses Feld ist erforderlich.
Wie groß ist die Fläche des Grundstücks? Runde auf zwei Dezimalstellen.

Dieses Feld ist erforderlich.

Wenn die Breite
ist, ist die Länge
.
Da der Umfang
ist, erhalten wir:

Die Breite misst
.
Die Länge misst
.
Wir berechnen die Fläche

Die Fläche (auf zwei Dezimalstellen gerundet) beträgt 
2
Wenn die Seitenlänge eines Quadrats um
zunimmt, beträgt der Umfang
. Wie groß ist die ursprüngliche Seite des Quadrats?

Dieses Feld ist erforderlich.

Angenommen, die Seite des ersten Quadrats ist
. Dann ist die Seite des anderen Quadrats
.
Da der Umfang
beträgt, erhalten wir

Die Seitenlänge des ursprünglichen Quadrats beträgt
.
3
Berechne den Wert der Innenwinkel eines Dreiecks, wenn
um
größer ist als
und
um
größer ist als
.
.
Dieses Feld ist erforderlich.
.
Dieses Feld ist erforderlich.
.
Dieses Feld ist erforderlich.
Wenn
der Innenwinkel im Eckpunkt
ist, ist der Winkel im Eckpunkt
gleich
und der Winkel im Eckpunkt
ist
.
Da die Summe der Innenwinkel eines Dreiecks
beträgt, gilt:

Der Winkel im Eckpunkt
misst
.
Der Winkel im Eckpunkt
misst 
Der Winkel im Eckpunkt
misst 
4
Wenn die Seitenlänge eines Quadrats um
abnimmt, beträgt der Umfang
. Wie lange ist die Seitenlänge des ursprünglichen Quadrats?

Dieses Feld ist erforderlich.

Angenommen, die Seite des ersten Quadrats ist
. Dann ist die Seite des anderen Quadrats
.
Da der Umfang des 2. Quadrats
beträgt, gilt:

Die Seitenlänge des ursprünglichen Quadrats misst
.
5
Berechne den Wert der Innenwinkel eines Dreiecks, wenn
doppelt so groß wie
ist und
gleich der Summe von
und
ist.
.
Dieses Feld ist erforderlich.
.
Dieses Feld ist erforderlich.
.
Dieses Feld ist erforderlich.
Wenn
der Winkel
ist, ist der Winkel
gleich
und der Winkel
gleich
.
Da die Summe der Innenwinkel eines Dreiecks gleich
ist, ergibt sich Folgendes:

Der Winkel im Eckpunkt
misst
.
Der Winkel im Eckpunkt
misst 
Der Winkel im Eckpunkt
misst 
6
Wenn die Höhe eines gleichschenkligen Dreiecks
der Grundseite entspricht und der Flächeninhalt
beträgt, wie groß ist dann der Umfang des Dreiecks?

Dieses Feld ist erforderlich.

ist die Grundseite. Somit ist die Höhe
.
Da die Fläche
beträgt, gilt:

Die Grundseite des Dreiecks misst
und seine Höhe
.
Die Höhe teilt das gleichschenklige Dreieck in zwei gleiche rechtwinklige Dreiecke. Wir wenden den Satz des Pythagoras an, um die beiden verbleibenden
Seiten zu finden.

Der Umfang ist
.
7
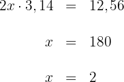
Berechne den Radius und die Fläche eines Kreises, dessen Umfang
ist. Verwende
.
.
.
Dieses Feld ist erforderlich.
Wenn
der Radius und
der Umfang ist, gilt:

Der Flächeninhalt des Kreises beträgt
.
8
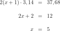
Wenn der Radius eines Kreises um
zunimmt, beträgt sein Umfang
. Wie groß ist der Umfang des ursprünglichen Kreises? Verwende
.

Dieses Feld ist erforderlich.

Der Radius ist
. Somit hat der 2. Kreis den Radius
.
Da der Umfang des 2. Kreises
beträgt, gilt:

Der Umfang der ursprünglichen Kreises beträgt
.
9
Wenn die Seitenlänge eines Würfels um
zunimmt, beträgt sein Volumen
. Wie groß ist das Volumen des ursprünglichen Würfels?

Dieses Feld ist erforderlich.

Angenommen, die Seite des ersten Würfels ist
. Dann ist die Seite des zweiten Würfels
.
Da der zweite Würfel das Volumen
hat, folgt daraus, dass

Das Volumen des ursprünglichen Würfels beträgt
.
10
Wenn die Höhe eines geraden Kreiszylinders mit dem Radius
um
abnimmt, beträgt sein Volumen
. Wie lautet das Volumen des ursprünglichen Zylinders? Verwende 

Dieses Feld ist erforderlich.

Die Höhe des 1. Zylinders ist
. Somit beträgt die Höhe des 2. Zylinders
.
Da der 2. Zylinder ein Volumen von
hat, gilt:

Das Volumen des ursprünglichen Zylinders beträgt
.
Mit KI zusammenfassen:
